Inicio Asma sintomática pese a tratamiento Guías de práctica clínica para el manejo del asma Ventajas de SPIRIVA® RESPIMAT® en asma sintomática pese a tratamiento Mejora de la función pulmonar con SPIRIVA® RESPIMAT®  Reducción de exacerbaciones graves con SPIRIVA® RESPIMAT® Diferentes tipos de pacientes, un mismo medicamento Mejora de la función pulmonar y control del asma en niños y adolescentes con SPIRIVA® RESPIMAT® Efectos de SPIRIVA® RESPIMAT® en asma no controlada con ICs + LABA Beneficios de SPIRIVA® RESPIMAT® en asma no controlada con ICs + LABA Ventajas de SPIRIVA® RESPIMAT® Inhaladores en EPOC: ¿son adecuados? Flujo inspiratorio peak subóptimo y mala evolución de EPOC SPIOLTO® RESPIMAT® reduce la hiperinflación SPIOLTO® RESPIMAT® aumenta la capacidad inspiratoria Guías de práctica clínica para el manejo de EPOC SPIOLTO® RESPIMAT® mejora la función pulmonar Beneficios de SPIOLTO® RESPIMAT® vs. monoterapia Menor esfuerzo inspiratorio con RESPIMAT® vs. otros dispositivos Esfuerzo inspiratorio con RESPIMAT® GAP, cómo utilizar RESPIMAT® Numerosos estudios respaldan a SPIOLTO® RESPIMAT® Ventajas de SPIOLTO® RESPIMAT®

Referencia:

  1. Boehringer Ingelheim Ltda. Adición de LAMA en pacientes con asma no controlada con ICS/LABA: ¿Qué dice la evidencia? Producciones Científicas Ltda. Santiago, 2023. “Información Médica Actualizada” ISSN 1657-5970.
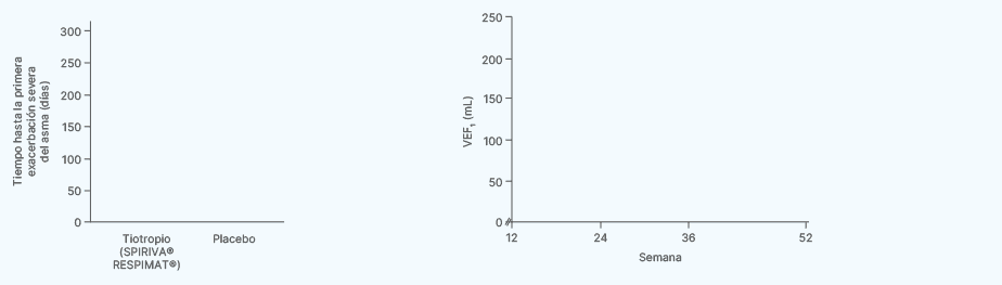
  2. Kerstjens HA, Engel M, Dahl R, et al. Tiotropium in asthma poorly controlled with standard combination therapy. N Engl J Med. 2012 Sep 27;367(13):1198-207.
  3. Ohta K, Ichinose M, Tohda Y, et al. Long-Term Once-Daily Tiotropium Respimat® Is Well Tolerated and Maintains Efficacy over 52 Weeks in Patients with Symptomatic Asthma in Japan: A Randomised, Placebo-Controlled Study. PLoS One. 2015 Apr 20;10(4):e0124109.
  4. Wechsler ME, Oppenheimer JJ. Open-inhaler versus single-inhaler triple therapy (long-acting muscarinic antagonist, inhaled corticosteroid, and long-acting β2-agonist) in asthma patients: a narrative review. J Asthma. 2023;60(9):1633-1645.